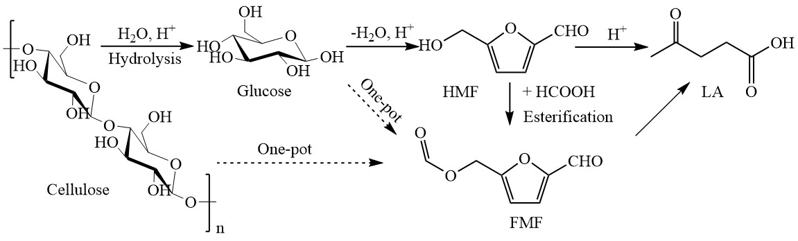
课题组首次报道了在甲酸体系中催化转化纤维素一锅法制备5-甲酰氧基-甲基糠醛(5-[(formyloxy)methyl]furfural, FMF)。相对于HMF,FMF具有更好的疏水性和热稳定性,因而能够很容易地从混合产物中分离。FMF同时具有HMF类似的官能基团,因而可以作为替代HMF的新型生物基平台分子。相关成果发表在农林类一区杂志Ind. Crop. Prod. (2016, DOI: doi:10.1016/j.indcrop.2016.01.004),第一作者为2014级博士研究生蒋叶涛。
